What Can ABACUS Do Too? | Microscopic Probing Combined with DFT (ABACUS+TB2J) to Explore the Microscopic Magnetism of GeFe₃N Material
Recently, the research group led by Zhiwei Li from the School of Physical Science and Technology at Lanzhou University and the research group led by Hanjie Guo from the Songshan Lake Materials Laboratory collaborated. A research paper titled "Short-range order and strong interplay between local and itinerant magnetism in GeFe₃N" published in "Physical Review B" used microscopic probing combined with DFT calculations (ABACUS+TB2J) to reveal the unique magnetic behavior of the GeFe₃N compound [1]. This compound belongs to the space group I4/mcm, has a complex crystal structure and unique microscopic magnetism, and has attracted extensive attention. This article will introduce the crystal structure, magnetic behavior, and the physical mechanism behind it of GeFe₃N based on this research paper. Master's student Tinghai Zhang is the first author, and Yantao Cao, Bo Zhang, and Liang Qiao provided experimental and data analysis support.
Crystal Structure
The crystal structure of GeFe₃N is shown in Figure 1. In this structure, Ge and N atoms are located at Wyckoff sites 4b (0, 0.5, 0.25) and 4c (0, 0, 0), respectively, while Fe atoms occupy two different sites: FeI is located at 4a (0, 0, 0.25), and FeII is located at 8h (0.19, 0.69, 0). It is particularly noteworthy that the FeII atom is rotated relative to the FeI atom, resulting in its deviation from the diagonal position (0.25 0.75 0). This structural difference provides the basis for the magnetic behavior of GeFe₃N.

Magnetic Behavior
Theoretical Prediction
Previous studies predicted through density functional theory (DFT) calculations [2] that there are significant differences in the magnetic behavior of the FeI and FeII sites. Specifically, the FeI site exhibits local magnetism, while the FeII site exhibits itinerant magnetism. The competition and interaction between the local magnetic moment and the itinerant magnetic moment may be the reasons for the frustrated ferromagnetic (FM) state and critical behavior in GeFe₃N.
Experimental Verification
To better understand the different magnetic behaviors of these two Fe sites, the researchers conducted a variety of experimental studies. First, polycrystalline GeFe₃N samples were prepared by the traditional solid-state reaction method, and the phase purity was confirmed by X-ray diffraction measurement.

Secondly, when studying the direct current magnetic susceptibility (DC susceptibility) of GeFe₃N, it was found that the magnetization M(T) and inverse susceptibility χ⁻¹(T) curves as a function of temperature are shown in Figure 3(a). Below about 95K, the magnetization in both zero-field cooling (ZFC) and field-cooling (FC) modes increases sharply, indicating the occurrence of ferromagnetic (FM-like) ordering. However, unlike typical ferromagnetic materials, even at the lowest temperature of 2K, the magnetization in the FC mode does not reach saturation, which is attributed to the short-range ferromagnetic order formed below Tc. In addition, above Tc, the χ⁻¹(T) curve exhibits complex nonlinearity, indicating the breakdown of the Curie-Weiss behavior. Nevertheless, the solid line in Figure 3(a) is a tentative fit to the χ⁻¹(T) data. These results are not only confirmed by the measurement of the isothermal magnetization loop M(H) at different temperatures (see Figure 3(b)), but also reveal the characteristics of the short-range ferromagnetic order in GeFe₃N.

Again, the specific heat (CP(T)) of GeFe₃N was measured under zero external magnetic field, and no obvious anomaly was found in the entire test temperature range. This is inconsistent with the expected λ peak during the usual magnetic transition, indicating that the ferromagnetic (FM) order of GeFe₃N is short-range.

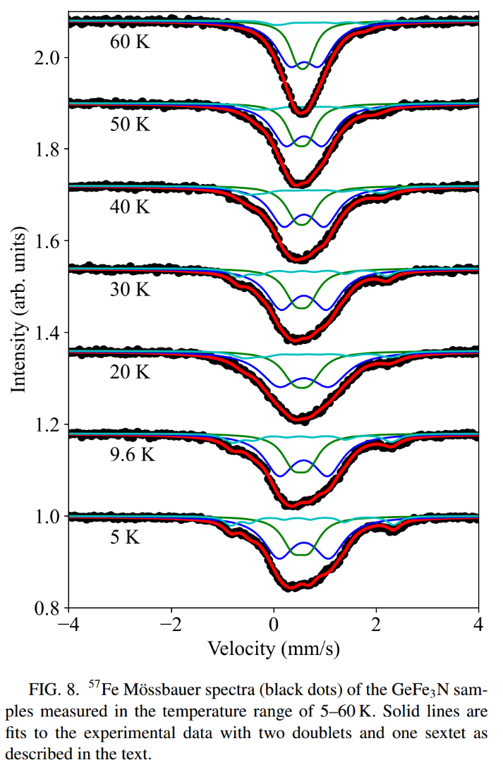
In addition, Mossbauer spectroscopy measurements were also carried out. No sextet corresponding to the ferromagnetic state was observed above 60K, indicating that only very short-range ferromagnetic correlations exist at this time. The spectra in the range of 5 - 60K show that in addition to two doublets, a sextet corresponding to the FeI site can also be resolved, but the sextet of the FeII site cannot be resolved due to the small hyperfine field value and strong overlap with the doublet. This indicates that even at the lowest measurement temperature of 5K, the ferromagnetic phase transition is not completed, and the sample consists of ferromagnetic clusters embedded in a paramagnetic background.

To understand the complex magnetism observed above, this study calculated the magnetic exchange interaction of the material using the domestic DFT software ABACUS combined with the TB2J software package, as shown in Figure 11. It was found that the exchange interaction between FeII - FeII in the material is much smaller than that between FeI - FeI. However, the interaction between FeI - FeII has a similar intensity to that between FeI - FeI, indicating that there is a strong interaction between the local magnetism and the itinerant magnetism in the material; the resulting magnetic frustration may be the microscopic origin of the complex short-range magnetic order of the material.

Conclusion
The complex crystal structure and unique magnetic behavior of the GeFe₃N compound provide us with a new perspective for studying magnetic materials. Through theoretical calculations and experimental verification, the researchers not only revealed the magnetic differences between the FeI and FeII sites but also explored the possible physical mechanisms behind these differences. These findings are of great significance for the development of new magnetic materials and the understanding of complex magnetic systems.
References
[1] Tinghai Zhang et al., Physical Review B, 110, 224419 (2024).
[2] Tsumuraya et al., Physical Review B, 106, 024408 (2022).